Corrigés – Statistiques – 1e L
Exercice 1
a) On range les valeurs dans l’ordre croissant : 6 ; 7,5 ; 8 ; 9,5 ; 11 ; 12 ; 14 ; 16 ; 18
Comme il y a 9 valeurs, la médiane est associée au 5ème élément qui partage la série en deux séries de 4 valeurs, soit la valeur 11.
Conclusion : La médiane de cette série est 11
b) On range les valeurs dans l’ordre croissant : 6,5 ; 9 ; 9,5 ; 11 ; 11 ; 11,5 ; 12 ; 14
Comme il y a 8 valeurs, la médiane est comprise entre la 4ème et 5ème valeur, qui partage la série en deux séries de 4 valeurs, soit la valeur 11.
Conclusion : La médiane de cette série est 11
c) On range les valeurs dans l’ordre croissant : 48,5 ; 49,2 ; 49,7 ; 50,1 ; 51,2 ; 53,8 ; 54,4
Comme il y a 7 valeurs, la médiane est associée au 4ème élément qui partage la série en deux séries de 3 valeurs, soit la valeur 50,1.
Conclusion : La médiane de cette série est 50,1d) On range les valeurs dans l’ordre croissant : 4,5 ; 5,1 ; 5,1 ; 7 ; 7 ; 9,6 ; 13,2 ; 16,6 ; 19,1
Comme il y a 9 valeurs, la médiane est associée au 5ème élément qui partage la série en deux séries de 4 valeurs, soit la valeur 7.
Conclusion : La médiane de cette série est 7
Exercice 2
1) On range les valeurs dans l’ordre croissant :
13,5 ; 13,8 ; 13,8 ; 13,9 ; 14 ; 14,1 ; 14,2 ; 14,2 ; 14,3 ; 15,2
Comme il y a 10 valeurs, la médiane est comprise entre la 5ème et 6ème valeur qui partage la série en deux séries de 5 valeurs, soit la valeur \frac{14+14,1}{2}=14,05.
Conclusion : La médiane de cette série est 14,05
Soit m la moyenne, on a :

La moyenne moyenne est donc de 14,1
3.Calcul del’étendu
La plus petite valeur est 13,5
La plus grande valeur est 15,2
On a : 15,2 – 13,5 = 1,7
Conclusion : l’étendu est 1,7
Exercice 3
1) Au cours de l’année,chaque candidat a obtenu dix notes en Mathématiques.

2) Calcul des moyennes
Désignons par \overline{X_k} la moyenne des notes de Kakou

D’où \overline{X_k} = 12
Désignons par \overline{X_A} la moyenne des notes de Annah

\overline{X_A} = \dfrac{1 \times 9 + 3 \times 10 + 4 \times 13 + 1 \times 14 + 1 \times 15}{10} = 12
D’où \overline{X_A} = 12
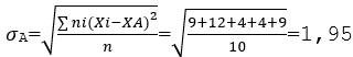
Calcul des écarts types
Désignons par \sigma_K l’écart-type des notes de Kakou


Désignons par \sigma_A l’écart-type des notes de Annah


3) \overline{X_A} = \overline{X_k} donc Annah et Kakou ont la même performance en Mathématiques ; mais comme \sigma_A < \sigma_k alors Annah est plus régulière que Kakou,elle est donc l’élément sûr qu’il faut choisir.
