5 – Suites numériques réelles – 2nde Le
I. Généralités
1) Définition :
On appelle suite numérique réelle, toute application u d’une partie I de \N dans \R. L’image d’un entier n (de I) est notée u_n
u : I \rightarrow \R \\ n \rightarrow u(n) = u_n
Le terme d’indice n qui est u_n, est appelé terme général de la suite u. et on note aussi u=(u_n).
Si u est définie pour tout n \in ~\N^*
le 1e terme est u1
le 2e terme est u2
le ne terme est un
Si n est définie sur \N
le 1e terme est u0
le 2e terme est u1
le ne terme est un-1
Deux façons de définir une suite :
- Une suite peut être définie par la donnée de l’expression de son terme général en fonction de n
Exemple : (u_n) est la suite définie par
u_n=\dfrac{n}{n+1}(u_n=f(n)
avec f : x \mapsto \dfrac{x}{x+1})~u_0=0 ; u_1=\dfrac{1}{2} ; u_{100}=\dfrac{100}{101}
- On peut aussi définir une suite par la donnée d’un premier terme (u_0 ou u_1 en général) et d’une relation entre deux termes consécutifs quelconques de la forme u_{n+1}= f(u_n)
Exemple : (u_n) est la suite définie par :
\begin{cases} u_0=1 \\ \\ u_{n+1}=\dfrac{u_n}{u_n+1} \end{cases}
On a:

La relation u_{n+1}= f(u_n) est dite relation de récurrence.
> La relation de récurrence peut lier trois termes (ou même plus) consecutifs.
Exemple :
(u_n) est la suite définie par : .

On a alors

2)Sens de variation d’une suite :
Définitions :
Une suite (u_n) est dite croissante si quel que soit n, \\ u_{n+1} \geq u_n
Une suite (u_n) est dite décroissante si quel que soit n, \\ u_{n+1} \leq u_n
(u_n) est dite constante ou stationnaire si quel que soit n, \\ u_{n+1} = u_n
Etude de variation :
1ere méthode :
On étudie le signe de u_{n+1} - u_n :
si u_{n+1} - u_n \geq 0 ; (u_n) est croissante
si u_{n+1} - u_n \leq 0 ; (u_n) est décroissante
si u_{n+1} - u_n = 0 ; (u_n) est constante
2e méthode :
Si tous les termes de la suite sont strictement positifs, on peut comparer \dfrac{u_{n+1}}{u_n} à 1 :
si \dfrac{u_{n+1}}{u_n} \geq 1 pour tout n, (u_n) est croissante
si \dfrac{u_{n+1}}{u_n} \leq 1 pour tout n, (u_n) est décroissante
si \dfrac{u_{n+1}}{u_n} = 1 pour tout n, (u_n) est constante
3e méthode :
Si (u_n) est définie par u_n = f(n) , on étudie la variation de f sur [0~;~+\infty[
si f est croissante, (u_n) est croissante
si f est décroissante ; (u_n) est décroissante
si f est constante, (u_n) est constante
II) Suites particulières
1) Suites arithmétiques
Définition
Une suite (U_n) est une suite arithmétique, si quel que soit n, u_{n+1} - u_n est une constante r.
On a donc pour tout n, u_{n+1} - u_n ou u_{n+1} = u_n + r
Le réel r est appelé raison de (U_n)
On a alors, si U_0 est le 1er terme de (U_n) et r sa raison alors :
u_n = u_0 + nr
D’une manière générale si U_p est le 1er terme de la suite arithmétique (U_n) et r sa raison alors :
u_n = u_p + (n-p)r
Somme des termes consécutifs d’une suite arithmétique
Soit (u_n) une suite arithmétique de 1er terme U_0 et de raison r. On a

où U_0 : le 1er terme de la somme, U_n : le dernier terme de la somme et (n+1) : le nombre de termes..
2) Suites géométriques
Définition
(U_n) est une suite géométrique s’il existe un réel q tel que quel que soit n,
\dfrac{u_{n+1}}{u_n} = q.
Le réel q est appelé raison de la suite géométrique (U_n) et on a
u_{n+1}=q.u_n
Expression de Un en fonction de n
Quels que soient n et k (U_k étant le premier terme de la suite)
u_n = q^{n-k}u_k
Somme de termes consécutifs d’une suite géométrique
Soit (U_n) une suite géométrique de raison q et de 1er terme U_0

où U_0 : 1er terme de la somme et n+1 : nombre de termes de la somme.
Exercice d’application
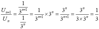
1) Soit (U_n) la suite définie par U_n = \dfrac{1}{3^n}.Montrer que (U_n) est une suite géométrique que l’on précisera son premier terme et sa raison.
2) (V_n) est la suite arithmétique de premier terme V_0=3 et de raison r=5
a)Exprimer V_n en fonction de n ( n\in ~\N)
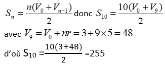
b) Calculer la somme S10 des 10 premier termes
Corrigé
1) Montrons que (U_n) est une suite géométrique

donc U_n est une suite géométrique de raison q=\dfrac{1}{3} et de premier terme
U_0=\dfrac{1}{3^0}=1.
2.a) Expression de V_n en fonction de n.
V_n=V_0+ nr= 3+5n.
b) Calcul de la somme S_{10}

