Exercices – Opérations sur les fractions
Exercice 1
Dans chacune des lignes ci-dessous, un nombre et un seul n’est pas égal aux autres . Lequel ?

Exercice 2
Simplifier les fractions suivantes après avoir factorisé numérateur et dénominateur :

Exercice 3
n étant un entier ,trouver toutes les valeurs possibles de n dans chacun des cas suivants :

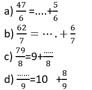
Exercice 4
Compléter avec un entier :

Exercice 5
Un avion décolle de Paris. Il y à 180 places. Les \frac{3}{5} des sièges sont occupés.
1° combien y a-t-il de passagers ?
2°A l’escale de Dakar ;l’avion est rempli au \frac{3}{4}.
Combien y a-t-il de passagers supplémentaires ?
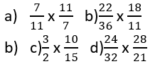
Exercice 6
1° calculer en simplifiant :

2° compléter :

Exercice 7
‘’Les deux tiers de vos trois quart d’heure sont écoulées.’’ Combien de temps cela fait-il ?
Exercice 8
Dans un collège, \frac{3}{5} des élèves sont des filles. Les \frac{2}{3} des filles s’habillent en jupe. Quelle fraction d’élèves portent une jupe ?
